In high-load, high-rigidity applications—such as press brakes, servo presses, or heavy-duty machine tools—selecting the correct ball screw size is not just a recommendation; it's a non-negotiable step to prevent catastrophic failure and ensure system longevity.
Choosing the wrong diameter or length can lead to short fatigue life, destructive resonance, or even shaft buckling. This guide breaks down the essential three-step sizing process for engineers working with high axial loads.
I. Step 1: Define the Load Profile & Static Safety
Before any geometry calculation, you must precisely define the forces acting on the screw assembly.
A. Load Classification
Static Load (Foa): The maximum non-operating load (or the peak load experienced during the entire cycle). The maximum instantaneous load must never exceed the screw's Basic Static Load Rating (Coa).
Dynamic Load (Fa): The variable load experienced during operation (acceleration, constant speed, deceleration, processing). This determines the fatigue life.
Equivalent Dynamic Axial Load (Fem): For varying loads and speeds throughout a cycle, you must calculate the average load that determines the screw's life using the cube-root mean value formula.
B. The Static Safety Factor (fs)
High-load applications often experience vibration and shock, requiring a safety factor far greater than the standard 1.0.
| Condition | Suggested Static Safety Factor (fs) |
| Normal Operation (No Shock) | 1.0 to 2.0 |
| Operation with Shock/Vibration | 2.0 to 3.5 |
| High Load Press/Brake | 3.5 or higher |
You must select a screw where Coa ≧ Foa x fs.
II. Step 2: Critical Diameter Tests (Buckling & Speed)
For high-load applications, especially those involving long travel or high speed, two key stability checks determine the minimum required root diameter (d1) of the screw shaft.
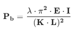
A. Column Buckling Load (Pb)
If the ball screw operates primarily under compressive axial load (pushing motion), the shaft can buckle like a slender column, particularly if the shaft is long or unsupported. This is often the controlling parameter for long screws under compression.
The theoretical buckling load (Pb) is calculated using Euler's formula, modified by a support factor (λ) based on the end-bearing fixity.

Key Action: Select a screw diameter whose theoretical buckling load (Pb) is significantly greater than the maximum compressive axial load, often by applying a safety factor of 0.5 (Pallow= Pb x 0.5).
Solution for Buckling: Use a larger shaft diameter or choose a Fixed-Fixed end bearing arrangement to increase the support factor (λ) and rigidity.
B. Critical Speed (Nc)
When a ball screw rotates, it behaves like a rotating beam. If the rotational speed approaches the shaft's natural frequency, resonance occurs, leading to excessive vibration ("whipping" or "galloping") and rapid component failure. This phenomenon is called critical speed (Nc).

Key Action: Your maximum operating speed must be less than 80% of the calculated critical speed (Nop ≦ 0.8 x Nc).
Solution for Speed: Use a larger root diameter (d1) or reduce the unsupported length (L).
C. DN Value Check
Separately, the DN value (Pitch Circle Diameter x Max Speed) is a limit set by the manufacturer based on the capabilities of the ball nut's recirculation system (e.g., tube returns, end caps) and lubrication.
Check: Ensure (Nominal Diameter) x (Max RPM) ≦ Manufacturer's DN Value.
III. Step 3: Service Life Calculation (L10)
The final test ensures the screw meets the required operational life under dynamic loads. Life is determined by the screw's Dynamic Load Rating (Ca).
Dynamic Load Rating (Ca): The axial load at which 90% of identical screws will survive 1 million revolutions without fatigue failure (flaking).
The L10 Life Formula (in revolutions)

L10: Nominal life, guaranteed for 90% reliability.
Fem: The Equivalent Dynamic Axial Load (calculated from the duty cycle).
fw(Load Factor): An environmental factor that accounts for vibration, shock, or high acceleration. For smooth movements, fw ≈ 1.2, but for high-impact applications, it should be higher (1.5 to 2.5).
Key Action: The calculated L10 life must meet or exceed the application's required lifespan (typically measured in hours or kilometers).
IV. Beyond the Math: Rigidity and Preload
For high-load, precision machine tools, mathematical safety is not enough; the system must also resist deformation.
System Rigidity (Rtot)
Rigidity is the assembly's resistance to elastic deformation under axial load. High rigidity is crucial for maintaining positioning accuracy. Total system rigidity (Rtot) is a function of the screw shaft, the nut, the support bearings, and the housing. The screw shaft usually has the lowest rigidity and thus the largest impact.
The Role of Preload
In high-load applications, preloaded ball nuts are essential. Preloading involves slightly compressing the balls to eliminate axial clearance (backlash).
Benefit: Increases the axial rigidity and eliminates backlash, which is critical for precision and reduces the risk of vibration under high, fluctuating loads.
Trade-off: Preload slightly increases the friction torque required from the motor.
Conclusion: Selecting the Right TOCO Solution
Sizing a ball screw for high loads is a methodical process that requires balancing three constraints: load capacity, critical speed, and fatigue life. The optimal choice often defaults to the largest diameter that satisfies the most restrictive factor (usually buckling or critical speed).
TOCO offers specialized High-Load Ball Screw designs that maximize the ball diameter and optimize circulation circuits, providing up to a 50% increase in dynamic load rating compared to standard series without a significant increase in external dimensions.
To find the ball screw that meets your system's critical speed and longevity demands, consult the technical specifications for our High-Load Ball Screw Series.
View our comprehensive catalog and sizing charts at Ball Screw
English
German
French
Russian
Spanish
Japanese
Korean
Khmer
Portuguese
Ukrainian
Arabic
Italian
Afrikaans
Albanian
Armenian
Azerbaijani
Basque
Belarusian
Bulgarian
Catalan
Croatian
Czech
Danish
Dutch
Estonian
Filipino
Finnish
Galician
Georgian
Greek
Haitian Creole
Hebrew
Hindi
Hungarian
Icelandic
Indonesian
Irish
Latvian
Lithuanian
Macedonian
Malay
Maltese
Norwegian
Persian
Polish
Romanian
Serbian
Slovak
Slovenian
Swahili
Swedish
Thai
Turkish
Urdu
Vietnamese
Welsh
Yiddish


